
苯乙烯马来酸酐概述
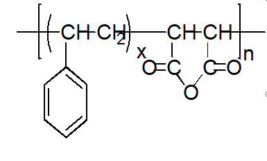
SMA苯乙烯马来酸酐是一种共聚物,是由苯乙烯和马来酸酐嵌段共聚而得,基础树脂的分子式如图:
。
大概有以下特性:
- 良好的溶解性:分子结构中含有极性基团,在一些极性溶剂中有较好的溶解性,可用于制备多种溶液体系。
- 反应活性高:分子中的双键等活性基团可参与多种化学反应,可与含有氨基等官能团的化合物发生反应,用于材料的改性。
- 热稳定性好:一定的温度范围内可以保持稳定的化学和物理性质,能够承受一些加工过程中的温度变化。
- 较高的玻璃化温度与软化点:分子量越小玻璃化温度越高,亲水性越好
一般工业中的应用有:
1. 塑料及工程塑料领域:
- 塑料合金增容剂:改善不同塑料之间的相容性,提高塑料合金的性能。
- 玻纤增强塑料改性剂:马来酸酐基团与玻璃纤维表面发生化学反应,增强两者之间的界面结合力,从而提高玻纤增强塑料的强度、刚度和耐热性等性能。
- 工程塑料:高分子量的SMA可直接作为工程塑料使用,具有较高的热稳定性、尺寸稳定性和机械强度。
2. 涂料和油墨领域:
- 分散剂:马来酸酐基团与颜料表面发生相互作用,使颜料均匀地分散在涂料或油墨体系中,提高体系的稳定性、着色力和遮盖力。
- 粘合剂:可将颜料、填料等固体颗粒牢固地粘结在一起,形成均匀的涂层或墨膜,提高涂层或墨膜的附着力、耐水性和耐化学性。
- 水性光油:可以优化光油的抗热性和耐刮擦性能,提高生产速度和产品质量。
3. 造纸领域:
- 施胶剂:良好的碱溶解性,可用于纸张的施胶处理,提高纸张的抗水性和表面强度及改善印刷性能和书写性能。
- 增强剂:增强纸张的纤维结合力,提高纸张的强度和韧性,减少破损和断裂。
4. 医药领域:
- 药物载体:改性和修饰后的SMA可作为药物载体,用于控制药物的释放速度和释放部位,提高药物的疗效和安全性。
- 生物医学材料:由于具有良好的生物相容性和可降解性,可用于制造组织工程支架、伤口敷料等。
5. 其他领域:
- 汽车内饰件:可用于汽车的仪表板、内饰板、座椅等部件的制造。
- 家电领域:制造空调格栅、洗碗机滚筒等家电零部件,具有耐磨性、高光泽度、容易成型等性能。
- 食品包装:生产符合食品包装材料的相关标准产品,如食品托盘、药品包装瓶等。
广州易元材料科技有限公司专业代理的进口SMA苯乙烯马来酸酐为小分子量的苯乙烯马来酸酐,主要具有以下特性:
1. 良好的溶解性:
- 在多种有机溶剂中具有较高的溶解性,如醇类、酮类、酯类等极性溶剂,在涂料、油墨等领域能够很好地分散在体系中,形成均匀的溶液,便于加工和使用。
- 相对高分子量的苯乙烯马来酸酐,小分子量的SMA在溶剂中的溶解速度更快,更易操作和调配。
2. 反应活性高:
- 分子结构中的马来酸酐基团具有很强的反应活性,能够与多种化合物发生化学反应,如与胺类化合物反应生成酰胺,与醇类反应生成酯等。在涂料、油墨中可以与其他成分进行有效的交联或接枝反应,从而改善材料的性能。
- 苯乙烯结构中的双键具有一定的反应活性,可以参与自由基聚合等反应,进一步拓展了其应用范围。
3. 表面活性:
- 分子中同时含有苯乙烯的疏水部分和马来酸酐的亲水部分,使其具有一定的表面活性。在涂料、油墨中,能够在颜料和基材之间起到良好的界面作用,提高颜料的分散性和对基材的附着力,提高涂层的耐水性、耐热性和光泽度等。
4. 低粘度:较低的粘度,在加工过程中更易流动和分散,能够更好渗透到材料的孔隙中,提高与材料的结合力。
5. 易挥发:相对分子量较小,分子间作用力较弱,具有一定的挥发性。在使用过程中,需要注意控制加工温度和时间,以减少其挥发损失。
如有需求可随时致电咨询:137-1059-8695